一种新的药物或治疗方法是否有效以及疗效如何,这是临床医生经常需要解决的问题。临床试验(clinical trial)是用来在病人身上比较不同治疗效果的一种科学的、具有说服力的试验方法。目的是研究药物、手术、放射治疗以及其他各种治疗措施的疗效和不良反应。
(一)临床试验设计
在临床进行药物等治疗方法的效果观察时,所遇到的影响因素远较在实验室复杂得多,而且不易控制。因此必须有周密的合乎科学的试验设计,有了它就可以用比较经济的人力、物力和时间,最大限度地获得可靠的资料,并从中得出有说服力的结论。周密的试验设计应包括:
1.试验对象对其总体的代表性 临床上同一疾病其严重程度不一,病人性别、年龄各异,对个别特殊对象的临床试验,其结果不一定能代表患病人群总体。因此,在做试验前应考虑好对象的代表性,并作出规定。
2.诊断 诊断必须有一定标准。确定诊断标准后必须严格按标准纳入及排除试验对象。标准过宽则易混入假阳性病人。
3.在均衡和齐同条件下设立对照组 对照组是临床试验的比较基础。正确设置对照组是试验设计的一个核心问题。在任何科研项目中都需要设立对照组,有了对照才能进行比较。对照的作用在于用对比鉴别的方法来研究处理因素的效应,它可以减少或防止偏倚和机遇产生的误差对试验结果的影响。尤其对可自然痊愈及变化的疾病,有季节变化的慢性病,在以主观感觉或心理效应作为主要观察指标时,都要有相应的对照,以减少由于自愈、季节变化和主观心理效应带来的偏倚。否则会误认为用一种药物或一种疗法治疗某病,病情有好转,该药就一定有效,或者认为该药无疑是病情好转的主要原因,实际上并不然。如鸡血疗法、卤碱疗法、甩手疗法等从轰动一时的“百病皆治”到销声匿迹的“效果不佳”甚至有副作用。这就是未经很好设计对照而犯错误的例子。
现在所谓保健品的效果宣传也都回避有无对照及如何对照这个关键问题,而是以引证所谓“专家谈话”“用户来信”某人“亲身经验”等违反科学方法的手段作为“证明”。
作为医生,必须掌握疗效分析的原则,才能对病人的治疗作出正确的决策,并能对大量虚夸的广告和不确实的疗效报告作出自己的判断,才不至于不自觉地作了“义务推销员”而损害病人利益。
严格地说,对照要求除了少一个处理因素之外,其他条件均应与患者组尽量一致。这就是均衡可比的原则。但是,在临床实际中,只要求在主要混淆因素和偏倚来源上均衡可比,就是一个较好的对照了。
现介绍常用的3种对照设计方法:
(1)配对比较设计:将研究对象按某些特征或条件配成对子,这样每遇到一对就分别给予不同处理。如在疾病防治工作中,可选取同年龄组(年龄相差5岁以内),同性别、同疾病、同病情的患者配对进行对比观察。统计方法可用配对资料的t检验法或配对x2检验。配对设计能减少每一对内部的实验误差,故较组间比较设计的效率要高。
(2)自身对照设计:即用同一病人,按治疗前后进行疗效的比较。如50例即得50个差值,有了此数据即可作前、后比较的均数差异显著性检验(t检验)。这种设计方法既节约例数,又容易控制试验条件,因为对照和试验在同一病人身一进行,是比较好的一种设计。
(3)组间比较设计:设计时将病例分为试验组和对照组。在临床试验中对病人的处理比较复杂,经常的做法是以常规有效或传统的疗法作对照。在两组确实可比的情况下,将可得到的数据用两均数或x2检验进行统计学处理,才能判断其结果。这种设计效率不如配对设计,常要用较多的观察单位才能得到与其他设计相似的效果。如两组例数相等,又较例数不等时效率高。
总之,设立对照组的原则是:①对照组必须在开始试验前设计好;②对照组在同时期比不同时期好,在本单位比外单位好;③对照组与试验组均应按随机分配的原则分组。
从以上所述,可见对照组在临床试验设计中的作用及正确选择对照组的重要性。如试验设计中缺乏对照组则往往事倍功半,甚至得出错误的结论,不仅浪费人力、物力,更重要的是,将实际无效的药当特效药来用,耽误了病人的病情。因此说对照组是临床试验的比较基础,设不设对照组是临床试验的核心问题,再强调也不过分。
4.临床试验中如何决定样本大小 由生物体(特别是人)个体间有差异,无论多么高明的抽样技术都不可能使样本完全反映总体的情况,所以抽样误差总是存在的。根据数理统计原理,样本越小,误差越大。
如曾有人用某药治疗5例高血压病人,全部治愈,于是就说治愈率为100%。这就不妥。因为经计算率的抽样误差可知,根据这5例的治疗情况,此方法对高血压的真正治愈率可能高达100%,也可能低达47.8%(因这百分率的95%可信限是47.8%~100%)。如果治疗例数增加到50例,仍然全部治愈,其治愈百分率的95%可信限为93%~100%。所以说明样本必须够大,才能得出较正确结论,不然往往不能区别差异是研究因素还是其他偶然因素所造成。
一般说,试验的样本愈大则愈可靠,但试验对象过多,有时反而不易达到精密、迅速,甚至造成不必要的浪费。而例数太少,又不易得出有显著差别的结果。因此试验中需要多少试验对象是一个值得研究的问题。
估计样本大小需要了解以下几个条件:①采用何种试验设计方法。②了解合并标准差或合并阳性率的值各为多少。如无过去经验作参考,可用较少试验对象先做一个预试验。③明确规定2个率或平均数间显著差别时最小相差数。
医学研究中统计资料一般分为测量资料和计数资料两大类,不同的统计资料进行样本含量大小估计时要用不同的方法。
(1)测量资料试验单位数的估计:测量资料是指每个观察单位的测量结果都用数量大小表示出来,如血压、脉搏、红细胞数、白细胞数、转氨酶、胆固醇值等。
1)配对比较(自身对照比较)
(式6-1)(式6-2)
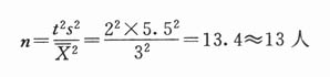
上两式中n为样本含量;t为给定条件下的t值;X为差数的均值;s为差数的标准差。
例:以A药治疗缺铁性贫血患者以提高血红蛋白量。已知治疗前后血红蛋白数,其差数的标准差为5.5g%,假如该药有效,要求治疗前、后血红蛋白数相差3g%,问需观察多少病人的疗效?
先用大样本公式计算

由于n<30,故用小样本公式重算,当n=13,自由度=13-1=12,查t值表,t0.05(12)=2.179代入小样本公式:

故可用16人作治疗观察。
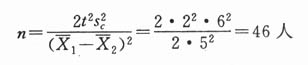
2)成组比较:在成组比较中,当n1=n2时,试验效率最高。

Sc为合并标准差。
例:有人测定急性克山病患者与克山病区健康人的血磷(mg%),通过预试验已知试验组与对照组均数相差(即X1-X2)为2.5mg%,合并标准差为6mg%,t可以取2(95%正确性),求n等于多少?

故每组需46人,两组共需92人。
(2)计数资料试验单位数的估计:临床试验中了解某药对某病的疗效,常要清点治愈、好转、无效、死亡等各组例数;临床检验中要清点呈阳性或阴性反应各若干,如结核菌素试验、寄生虫卵检查等。这些将观察单位按品质标志分组资料称计数资料。
计数资料每组所需单位数(n),可用以下两种方法得到:
1)查表法:根据预计两组的发病率(或治愈率)查表(见附表1)。如通过预试验已知甲组阳性率为45%,乙组阳性率为65%,则两组百分比相差显著时(95%正确性)所需例数为113人。
2)由公式推出:当n1=n2=n时,则试验效率最高。计算公式如下:

(式6-3)
P为合并阳性率;Q为合并阴性率,即Q=1-P;P1及P2为已知两组的率。
例:对迁延性及慢性肝炎患者用新疗法治疗有效率为80%,用原有疗法治疗,有效率为60%。两组合并有效率为70%,问两组需观察多少例,两种疗法的有效率相差才显著?
P1=0.80,P2=0.60,P=0.70 Q=0.30,代入上式:

故每组需观察42人,两组共观察84人。