(四)抗原的分离与纯化
从细胞中提取出来的生物大分子是不纯净的,必须进一步分离纯化才能获得纯品。在生物大分子制备工作中,分离纯化是比较复杂和重要的一个环节。对于异类的物质,如提纯蛋白质和酶时混杂着核酸,提纯核酸时混杂着蛋白质或多糖,一般可用专一性酶水解、有机溶剂抽提、选择性分部沉淀等方法处理,小分子物质常在整个制备过程中多次液相与固相互相转化被分离或最后用透析方法除去。而对同类物质,如酶和杂蛋白,RNA和DNA以及不同结构的蛋白质、酶、核酸之间的分离,情况则复杂得多,主要应用的方法有盐析法、有机溶剂沉淀法、等电点沉淀法、吸附法、结晶法、电泳法、超速离心法、柱层析法等。其中盐析法、等电点法、结晶法用于蛋白、酶的提纯较多;有机溶剂抽提和沉淀用于核酸提纯较多;柱层析法、梯度离心法在蛋白质和核酸的提纯工作中应用均十分广泛。本节 侧重对蛋白质、酶和核酸分离纯化中与溶解度有关的一些方法作一简要叙述。
1.蛋白质分离纯化的一些方法
(1)盐析法
①原理:盐析法对于许多非电解质的分离纯化都是适合的,也是蛋白质和酶提纯工作应用最早,至今仍广泛使用的方法。其原理是蛋白质、酶在低盐浓度下的溶解质随着盐液浓度升高而增加(此时称为盐溶);当盐浓度不断上升时,蛋白质和酶的溶解度又以不同程度下降并先后析出,称为蛋白质的盐析。这一现象是由于蛋白质分子内及分子间电荷的极性基团有着静电引力,当水中加入少量盐类时,由于盐类离子与水分子对蛋白质分子上的极性基团的影响,使蛋白质在水中溶解度增大。但盐浓度增加到一定程度时,蛋白质表面的电荷大量被中和,水化膜被破坏,于是蛋白质就相互聚集而沉淀析出。盐析法就根据不同蛋白质和酶在一定浓度的盐溶液中溶解度降低程度的不同而达到彼此分离的方法。
②盐的选择:蛋白质盐析常用中性盐,主要有硫酸铵、硫酸镁、硫酸钠、氯化钠、磷酸钠等。其中应用最广的是硫酸铵,其优点是温度系数小而溶解度大(25℃时饱和溶解度为4.1mol/L,即767g/L;0℃时饱和溶解度为3.9mol/L,即676g/L),在这一溶解度范围内,许多蛋白质和酶都可以盐析出来,而且硫酸铵价廉易得,分段效果比其他盐好,不容易引起蛋白质变性。应用硫酸铵时,对蛋白氮的测定有干扰,缓冲能力比较差,故有时也应用硫酸钠,如盐析免疫球蛋白,用硫酸钠的效果也不错,硫酸钠的缺点是30℃以上溶解度太低。其他的中性盐如磷酸钠的盐析作用比硫酸铵好,但也由于溶解度太低,受温度影响大,故应用不广。
硫酸铵浓溶液的pH在4.5~5.5之间,市售的硫酸铵常含有少量游离硫酸,pH值往往降至4.5以下,当用其他pH值进行盐析时,需用硫酸或氨水调节 。
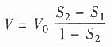
③硫酸铵饱和度计算法及加入方式:在分段盐析时,加盐浓度一般以饱和度表示,饱和溶液的饱和度定为100%。用硫酸铵盐析时其溶液饱和度调整方法有3种。一是当蛋白质溶液体积不大,所需调整的浓度不高时,可加入饱和硫酸铵溶液;饱和硫酸铵配制方法可加入过量的硫酸铵,热至50~60℃保温数分钟,趁热滤去沉淀,再在0℃或25℃下平衡1~2天,有固体析出时即达100%饱和度。盐析所需饱和度可按下式计算:

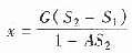
式中V及V0分别代表所需饱和度硫酸铵溶液及原溶液的体积,S2及S1分别代表所需达到的和原溶液的饱和度。严格来说,混合不同体积的溶液时,总体积会发生变化使上式造成误差,但这由体积改变所造成的误差一般小于2%。故可忽略不计。另一种是所需达到饱和度较高而溶液的体积又不再过分增大时,可直接加入固体硫酸铵,其加入量可按下式计算:

式中X是将1升饱和度为S1的溶液提高到饱和度为S2时所需硫酸铵的重量(g),G及A为常数,与温度有关。G在0℃时为707,20℃时为0.29。为方便起见,在室温及℃时所需硫酸铵的饱和度可直接查表2-1、表2-2求出。
表2-1 室温下由S1提高到S2时每升加固体硫酸铵的克数
| 0.10 | 0.20 | 0.25 | 0.30 | 0.35 | 0.40 | 0.45 | 0.50 | 0.55 | 0.60 | 0.65 | 0.70 | 0.75 | 0.80 | 0.85 | 0.90 | 0.95 | 1.00 | |
| 0 | 55 | 113 | 114 | 175 | 209 | 242 | 278 | 312 | 350 | 390 | 430 | 474 | 519 | 560 | 608 | 657 | 708 | 760 |
| 0.10 | 57 | 67 | 118 | 149 | 182 | 215 | 250 | 287 | 325 | 365 | 405 | 448 | 494 | 530 | 585 | 634 | 685 | |
| 0.20 | 29 | 59 | 90 | 121 | 154 | 188 | 225 | 260 | 298 | 337 | 379 | 420 | 465 | 512 | 559 | 610 | ||
| 0.25 | 29 | 60 | 91 | 123 | 157 | 192 | 228 | 265 | 304 | 345 | 386 | 430 | 475 | 521 | 571 | |||
| 0.30 | 30 | 61 | 93 | 125 | 160 | 195 | 232 | 270 | 310 | 351 | 394 | 439 | 485 | 533 | ||||
| 0.35 | 30 | 62 | 94 | 128 | 163 | 199 | 235 | 275 | 315 | 358 | 403 | 449 | 495 | |||||
| 0.40 | 31 | 63 | 96 | 131 | 166 | 205 | 240 | 280 | 322 | 365 | 410 | 458 | ||||||
| 0.45 | 31 | 64 | 98 | 133 | 169 | 206 | 245 | 286 | 330 | 373 | 420 | |||||||
| 0.50 | 32 | 63 | 100 | 135 | 172 | 211 | 250 | 292 | 335 | 380 | ||||||||
| 0.55 | 33 | 66 | 101 | 138 | 176 | 214 | 255 | 298 | 344 | |||||||||
| 0.60 | 33 | 67 | 103 | 140 | 179 | 219 | 261 | 305 | ||||||||||
| 0.65 | 34 | 69 | 105 | 143 | 182 | 224 | 267 | |||||||||||
| 0.70 | 34 | 70 | 108 | 146 | 187 | 228 | ||||||||||||
| 0.75 | 35 | 72 | 110 | 149 | 170 | |||||||||||||
| 0.80 | 36 | 73 | 112 | 152 | ||||||||||||||
| 0.85 | 37 | 75 | 114 | |||||||||||||||
| 0.90 | 37 | 76 | ||||||||||||||||
| 0.95 | 38 |
④盐析时注意的几个问题
1)盐的饱和度:盐的饱和度是影响蛋白质盐析的重要因素,不同蛋白质的盐析要求盐的饱和度不同。分离几个混合组分的蛋白质时,盐的饱和度常由稀到浓渐次增加,每出现一种蛋白质沉淀进行离心或过滤分离后,再继续增加盐的饱和度,使第二种蛋白质沉淀。例如用硫酸铵盐析分离血浆中的蛋白质,饱和度达20%时,纤维蛋白原首先析出;饱和度增至28%~33%时,优球蛋白析出;饱和度再增至33%~50%时,拟球蛋白析出;饱和度大于50%以上时,白蛋白析出。用硫酸铵不同饱和度分段盐析法,从牛胰中酸性提取分离可得到九种以上蛋白质及酶。
2)pH值:在等电点时,蛋白质溶解度最小容易沉淀析出,因此,盐析时除个别情况外,pH值常选择在被分离的蛋白质等电点附近。
3)蛋白质浓度:在相同盐析条件下,蛋白质浓度越大越易沉淀,使用盐的饱和度的极限愈低,如血清球蛋白的溶度从0.5%增到3.0%时,需用中性盐的饱和度的最低极限从29%递减至24%。某一蛋白质欲进行两次盐析时,第1次由于浓度较稀,盐析分段范围较宽,第2次则逐渐收窄,例如用硫酸铵盐析胆碱酯酶时,第1次硫酸铵饱和度为35%至60%,第2次为40%至60%。蛋白质浓度高些虽然对沉淀有利,但浓度过高也容易引起其他杂蛋白的共沉作用,因此,必须选择适当浓度,尽可能避免共沉作用的干扰。
表2-2 0℃下由S1提高到S2时每100ml加固体硫酸铵的克数
|
溶液的原始饱和度(%) |
饱和度 | 在0℃时所达到硫酸铵饱和度(%) | ||||||||||||||||
| 20 | 25 | 30 | 35 | 40 | 45 | 50 | 55 | 60 | 65 | 70 | 75 | 80 | 85 | 90 | 95 | 100 | ||
| 在100毫升中欲加固体硫酸铵的克数 | ||||||||||||||||||
| 0 | 10.6 | 13.4 | 16.4 | 19.4 | 22.6 | 25.8 | 29.1 | 32.6 | 36.1 | 39.8 | 43.6 | 47.6 | 51.6 | 55.9 | 60.3 | 65.0 | 69.7 | |
| 5 | 7.9 | 10.8 | 13.7 | 16.6 | 19.7 | 22.9 | 26.2 | 29.6 | 33.1 | 36.8 | 40.5 | 44.4 | 48.4 | 52.6 | 57.0 | 61.5 | 66.2 | |
| 10 | 5.3 | 8.1 | 10.9 | 13.9 | 16.9 | 20.0 | 23.3 | 26.6 | 30.1 | 33.7 | 37.4 | 41.2 | 45.2 | 49.3 | 53.6 | 58.1 | 62.7 | |
| 15 | 2.6 | 5.4 | 6.2 | 11.1 | 14.1 | 17.2 | 20.4 | 23.7 | 27.1 | 30.6 | 34.3 | 38.1 | 42.0 | 46.0 | 50.3 | 54.7 | 59.2 | |
| 20 | 0 | 2.7 | 5.5 | 8.3 | 11.3 | 14.3 | 17.5 | 20.7 | 24.1 | 27.6 | 31.2 | 34.9 | 38.7 | 42.7 | 46.9 | 51.2 | 55.7 | |
| 25 | 0 | 2.7 | 5.6 | 8.4 | 11.5 | 14.6 | 17.9 | 21.1 | 24.5 | 28.0 | 31.7 | 35.5 | 39.5 | 43.6 | 47.8 | 52.2 | ||
| 30 | 0 | 2.8 | 5.6 | 8.6 | 11.7 | 14.8 | 18.1 | 21.4 | 24.9 | 28.5 | 32.3 | 36.2 | 40.2 | 44.5 | 48.8 | |||
| 35 | 0 | 2.8 | 5.7 | 8.7 | 11.8 | 15.1 | 18.4 | 21.8 | 25.4 | 29.1 | 32.9 | 36.9 | 41.0 | 45.3 | ||||
| 40 | 0 | 2.9 | 5.8 | 8.9 | 12.0 | 15.3 | 18.7 | 22.2 | 25.8 | 29.6 | 33.5 | 37.6 | 41.8 | |||||
| 45 | 0 | 2.9 | 5.9 | 9.0 | 12.3 | 15.6 | 19.0 | 22.6 | 26.3 | 30.2 | 34.2 | 38.3 | ||||||
| 50 | 0 | 3.0 | 6.0 | 9.2 | 12.5 | 15.9 | 19.4 | 23.0 | 26.8 | 30.8 | 34.8 | |||||||
| 55 | 0 | 3.0 | 6.1 | 9.3 | 12.7 | 16.1 | 19.1 | 23.5 | 27.3 | 31.3 | ||||||||
| 60 | 0 | 3.1 | 6.2 | 9.5 | 12.9 | 16.4 | 20.1 | 23.9 | 27.9 | |||||||||
| 65 | 0 | 3.1 | 6.3 | 9.7 | 13.2 | 16.8 | 20.5 | 21.4 | ||||||||||
| 70 | 0 | 3.2 | 6.5 | 9.9 | 13.4 | 17.1 | 20.9 | |||||||||||
| 75 | 0 | 3.2 | 6.6 | 10.1 | 13.7 | 17.4 | ||||||||||||
| 80 | 0 | 3.3 | 6.7 | 10.3 | 13.9 | |||||||||||||
| 85 | 0 | 3.4 | 6.8 | 10.5 | ||||||||||||||
| 90 | 0 | 3.4 | 7.0 | |||||||||||||||
| 95 | 0 | 3.5 | ||||||||||||||||
| 100 | 0 | |||||||||||||||||
4)温度:由于浓盐液对蛋白质有一定保护作用,盐析操作一般可在室温下进行,至于某些对热特别敏感的酶,则宜维持低温条件。虽然蛋白质在盐析时对温度要求不太严格,但在中性盐下结晶纯化时,温度影响则比较明显。